通讯员:陈桥
近日,从英国皇家化学学会传来喜讯, a片
肖文志博士论文被英国皇家化学学会旗下Top期刊PCCP选为热点论文。
肖文志博士研究小组近期针对二维Janus-CrSeBr和CrTeI两个体系的T型结构做了压电和铁磁研究,理论预测这两种二维体系具有良好的能量、动力学、热力学、和机械稳定性。这一研究成果为实验发展、制备新型多功能二维电子材料提供了理论支撑。该成果发表在英国皇家化学学会(Royal Society of Chemistry) 旗下的Top期刊Phys.Chem.Chem.Phys.(Phys. Chem. Chem. Phys., 2020, 22, 14503—14513),并被选定为2020年度 Phys. Chem. Chem. Phys热点论文。
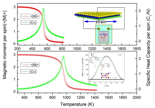
压电特效在能源转换、传感器领域具有非常重要的应用价值。具有压电特性的二维材料则可以有效降低器件的尺寸。具有磁性的二维压电材料中有望实现磁电耦合效应,有效拓展了材料的应用领域。因中心对称破却,体系展现非常大的垂直于平面的压电系数d31 (CrSeBr:1.745;CrTeI:1.716 pm V-1), 高于大部分目前预测的二维材料。同时,材料呈现高温铁磁性,具有较强的平面内的磁各向异性,评估的居里温度高达550 K。针对其独特的能带结构,我们提出采用栅电压实施载流子掺杂来调控材料的电子结构和磁性。正如所料,载流子掺杂导致材料出现了半导体-半金属转变,尤其是空穴掺杂还明显地提高了居里温度。
该工作得到了湖南省自然科学基金、湖南省教育厅重点项目的支持。论文链接//doi.org/10.1039/D0CP02293D。

图形总结. 蒙特卡洛模拟平均磁矩和热容与温度的关系。上插图展示在平面内应变下诱发的压电效应,下插图展示平面内磁各向异能与磁场强度方向(极角)的关系。